某岩基作用有垂向荷载,岩基的容重γ=25kN/m3,c=50kPa,φ=35°,当条形基础的宽度为2m、且无附加压力时,其极限承载力是(  )。A. 26...

作者: tihaiku 人气: - 评论: 0
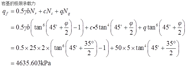
问题 某岩基作用有垂向荷载,岩基的容重γ=25kN/m3,c=50kPa,φ=35°,当条形基础的宽度为2m、且无附加压力时,其极限承载力是(  )。
选项 A. 2675kPa B. 3590kPa C. 4636kPa D. 5965kPa
答案 C
解析

相关内容:某岩,作用,荷载,岩基,容重,条形,基础,宽度,且无,附加,压力,极限,承载力

猜你喜欢

发表评论
更多 网友评论0 条评论)
暂无评论

访问排行

Copyright © 2012-2014 恰考网 Inc. 保留所有权利。 Powered by tikuer.com

页面耗时0.0296秒, 内存占用1.04 MB, Cache:redis,访问数据库19次