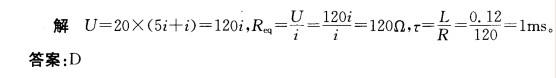
如图所示的时间常数为()。A. 25ms B.2ms C. 1.5ms D. 1ms

作者: tihaiku 人气: - 评论: 0
问题 如图所示的时间常数为()。
选项 A. 25ms B.2ms C. 1.5ms D. 1ms
答案 D
解析

相关内容:如图,时间,常数

猜你喜欢

发表评论
更多 网友评论0 条评论)
暂无评论

访问排行

Copyright © 2012-2014 恰考网 Inc. 保留所有权利。 Powered by tikuer.com

页面耗时0.0648秒, 内存占用1.04 MB, Cache:redis,访问数据库19次