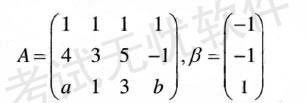
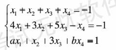
已知非齐次线性方程组 有3个线性无关的解,方程组系数矩阵A的秩r(A)为()。A. 1 B. 2 C. 3 D. 4

作者: tihaiku 人气: - 评论: 0
问题 已知非齐次线性方程组 有3个线性无关的解,方程组系数矩阵A的秩r(A)为()。
选项 A. 1 B. 2 C. 3 D. 4
答案 B
解析 设α1,α2,α3方程组Ax=β的3个线性无关的解,其中 则有A(α1-α2)=0,A(α1-α3)=0 则α1-α2,α1-α3是对应齐次线性方程组Ax=0的解,且线性无关(否则,易推出α1,α2,α3线性相关,矛盾)。

相关内容:非齐次,线性,方程组,系数,矩阵,的秩

猜你喜欢

发表评论
更多 网友评论0 条评论)
暂无评论

访问排行

Copyright © 2012-2014 恰考网 Inc. 保留所有权利。 Powered by tikuer.com

页面耗时0.0375秒, 内存占用1.04 MB, Cache:redis,访问数据库19次