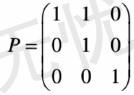
设A为3阶矩阵,将A的第2行加到第1行得B,再将B的第1列的一1倍加到第2列得C,记,则()。A. C=P-1AP B. C=PAP-1 C. C=P...

作者: tihaiku 人气: - 评论: 0
问题 设A为3阶矩阵,将A的第2行加到第1行得B,再将B的第1列的一1倍加到第2列得C,记,则()。
选项 A. C=P-1AP B. C=PAP-1 C. C=PTAP D. C=PAPT
答案 B
解析

猜你喜欢

发表评论
更多 网友评论0 条评论)
暂无评论

访问排行

Copyright © 2012-2014 恰考网 Inc. 保留所有权利。 Powered by tikuer.com

页面耗时0.0756秒, 内存占用1.03 MB, Cache:redis,访问数据库18次