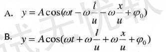
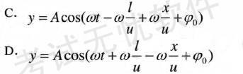
如图所示,一平面简谐波沿x轴负方向传播,波速为u,已知距原点l处的P点的振动表达式为y=Acos(ωt+φ0)则波动表达式为()。

作者: tihaiku 人气: - 评论: 0
问题 如图所示,一平面简谐波沿x轴负方向传播,波速为u,已知距原点l处的P点的振动表达式为y=Acos(ωt+φ0)则波动表达式为()。
选项
答案 C
解析

相关内容:如图,平面,谐波,轴负,方向,传播,波速,原点,处的,振动,表达式,波动

猜你喜欢

发表评论
更多 网友评论0 条评论)
暂无评论

访问排行

Copyright © 2012-2014 恰考网 Inc. 保留所有权利。 Powered by tikuer.com

页面耗时0.0343秒, 内存占用1.04 MB, Cache:redis,访问数据库19次