如图半径为R的滑轮上绕一绳子,绳与轮间无相对滑动。绳子一端挂一物块,在图示位置物块有速度和加速度。M点为滑轮上与铅垂绳段的相切点,则在此瞬时M点加速度的大...

作者: tihaiku 人气: - 评论: 0
问题 如图半径为R的滑轮上绕一绳子,绳与轮间无相对滑动。绳子一端挂一物块,在图示位置物块有速度和加速度。M点为滑轮上与铅垂绳段的相切点,则在此瞬时M点加速度的大小为()。
选项
答案 D
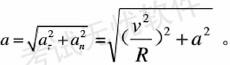
解析 M点的加速度由切向加速度和法向加速度组成,其中,切向加速度等于物块加速度,即aτ=a;法向加速度为,则M点的加速度

相关内容:如图,半径,绳子,轮间,滑动,一端,位置,物块,速度,加速度,铅垂,绳段,切点

猜你喜欢

发表评论
更多 网友评论0 条评论)
暂无评论

访问排行

Copyright © 2012-2014 恰考网 Inc. 保留所有权利。 Powered by tikuer.com

页面耗时0.0443秒, 内存占用1.05 MB, Cache:redis,访问数据库20次