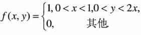
设二维随机变量(X,Y)的概率密度为(X,Y)的边缘概率密度fx(x),fY(y)分别为()。

作者: tihaiku 人气: - 评论: 0
问题 设二维随机变量(X,Y)的概率密度为(X,Y)的边缘概率密度fx(x),fY(y)分别为()。
选项
答案 D
解析

相关内容:变量,概率,密度,边缘

猜你喜欢

发表评论
更多 网友评论0 条评论)
暂无评论

访问排行

Copyright © 2012-2014 恰考网 Inc. 保留所有权利。 Powered by tikuer.com

页面耗时0.0427秒, 内存占用1.05 MB, Cache:redis,访问数据库20次