设二维随机变量(X,Y)的概率密度为 A. 1 B. 2 C. 1/4 D.1/3

作者: tihaiku 人气: - 评论: 0
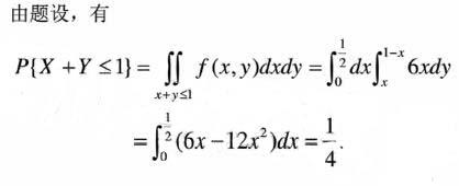
问题 设二维随机变量(X,Y)的概率密度为
选项 A. 1 B. 2 C. 1/4 D.1/3
答案 C
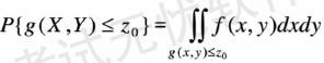
解析 已知二维随机变量(X,Y)的概率密度f(x,y),求满足一定条件的概率P{g(X,Y)≤z0},一般可转化为二重积分进行计算,

相关内容:变量,概率,密度

猜你喜欢

发表评论
更多 网友评论0 条评论)
暂无评论

访问排行

Copyright © 2012-2014 恰考网 Inc. 保留所有权利。 Powered by tikuer.com

页面耗时0.0393秒, 内存占用1.04 MB, Cache:redis,访问数据库17次