—平面简谐波沿X轴正向传播,已知x=L(LA. y=Acosw(t+L/u) B. y=Acosw(t-L/u) C. y=Acos(wt+L/u) ...

作者: tihaiku 人气: - 评论: 0
问题 —平面简谐波沿X轴正向传播,已知x=L(L
选项 A. y=Acosw(t+L/u) B. y=Acosw(t-L/u) C. y=Acos(wt+L/u) D. y=Acos(wt+L/u)
答案 A
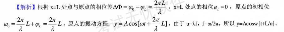
解析

相关内容:平面,谐波,传播

猜你喜欢

发表评论
更多 网友评论0 条评论)
暂无评论

访问排行

Copyright © 2012-2014 恰考网 Inc. 保留所有权利。 Powered by tikuer.com

页面耗时0.0522秒, 内存占用1.04 MB, Cache:redis,访问数据库20次