变直径有压圆管的流动,上游断面1的直径d1=150mm,下游断面2的直径d2=300mm,断面1的平均流速v1=6m/s,断面2的平均流速V2为()m/s...

作者: tihaiku 人气: - 评论: 0
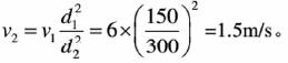
问题 变直径有压圆管的流动,上游断面1的直径d1=150mm,下游断面2的直径d2=300mm,断面1的平均流速v1=6m/s,断面2的平均流速V2为()m/s。
选项 A. 1 B. 1.5 C. 2 D. 3
答案 B
解析 根据连续性方程VAAA=VBAB,式中截面面积A=(π/4)d2,因此得V1d12=V2d22,可得断面2的平均流

相关内容:直径,圆管,流动,上游,断面,下游,流速

猜你喜欢

发表评论
更多 网友评论0 条评论)
暂无评论

访问排行

Copyright © 2012-2014 恰考网 Inc. 保留所有权利。 Powered by tikuer.com

页面耗时0.0472秒, 内存占用1.03 MB, Cache:redis,访问数据库13次