在单缝夫琅和费衍射实验中,波长为A的单色光垂直入射到宽度为a=4λ的单缝上,对应于衍射角为30°的方向,单缝处波阵面可分成的半波带数目为()个。A. 2 ...

作者: tihaiku 人气: - 评论: 0
问题 在单缝夫琅和费衍射实验中,波长为A的单色光垂直入射到宽度为a=4λ的单缝上,对应于衍射角为30°的方向,单缝处波阵面可分成的半波带数目为()个。
选项 A. 2 B. 4 C. 6 D. 8
答案 B
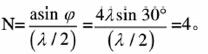
解析 半波带的数目

相关内容:单缝,单色光,宽度,单缝上,应于,方向,单缝处,波阵,面可,数目

猜你喜欢

发表评论
更多 网友评论0 条评论)
暂无评论

访问排行

Copyright © 2012-2014 恰考网 Inc. 保留所有权利。 Powered by tikuer.com

页面耗时0.0365秒, 内存占用1.04 MB, Cache:redis,访问数据库18次