如图所示,正方形平板闸门AB,边长为1m,两侧水深h1=2m,h2=1m,此闸所受静水总压力为()kN。 A. 9.8 B. 19.6 C. 38....

作者: tihaiku 人气: - 评论: 0
问题 如图所示,正方形平板闸门AB,边长为1m,两侧水深h1=2m,h2=1m,此闸所受静水总压力为()kN。
选项 A. 9.8 B. 19.6 C. 38.6 D. 54.0
答案 A
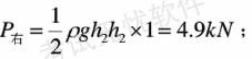
解析 此题中左侧净水压力分布图为梯形,作出闸门的受力图,由图解法得到:左边所受静水压力为右侧净水压力分布图为直角三角形,作出闸门的受力图,由图解法得到:右边所受静水压力为闸门所受静水总压力为P=P左-P右=14.7-4.9=9.8kN。

相关内容:如图,正方形,平板,闸门,两侧,水深,此闸,压力,38....

猜你喜欢

发表评论
更多 网友评论0 条评论)
暂无评论

访问排行

Copyright © 2012-2014 恰考网 Inc. 保留所有权利。 Powered by tikuer.com

页面耗时0.0419秒, 内存占用1.04 MB, Cache:redis,访问数据库14次