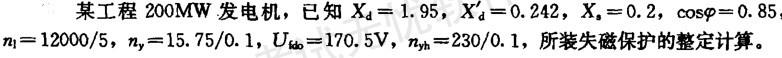
电压元件的整定值为()。A.50~60V; B.60~69V; C.70—80V; D.85~95V。

作者: tihaiku 人气: - 评论: 0
问题 电压元件的整定值为()。
选项 A.50~60V; B.60~69V; C.70—80V; D.85~95V。
答案 C
解析 根据《大型发电机变压器继电保护整定计算导则》(DL/T684—1999)4.6条的要求: 电压元件整定

相关内容:电压,元件,整定

猜你喜欢

发表评论
更多 网友评论0 条评论)
暂无评论

访问排行

Copyright © 2012-2014 恰考网 Inc. 保留所有权利。 Powered by tikuer.com

页面耗时0.0434秒, 内存占用1.04 MB, Cache:redis,访问数据库19次