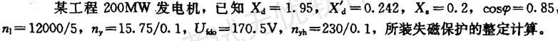
闭锁元件一励磁低电压继电器的动作电压整定值为()。A.180V; B.183.3V; C.185.5V; D.190.1V。

作者: tihaiku 人气: - 评论: 0
问题 闭锁元件一励磁低电压继电器的动作电压整定值为()。
选项 A.180V; B.183.3V; C.185.5V; D.190.1V。
答案 B
解析 根据《大型发电机变压器继电保护整定计算导则》(DL/T684—1999)4.6条的要求: 励磁低电压继电器的动作电压

相关内容:元件,励磁,电压,继电器,动作,整定,A.180V,B.183.3V,C.185.5V,D.190.1V

猜你喜欢

发表评论
更多 网友评论0 条评论)
暂无评论

访问排行

Copyright © 2012-2014 恰考网 Inc. 保留所有权利。 Powered by tikuer.com

页面耗时0.0442秒, 内存占用1.05 MB, Cache:redis,访问数据库20次