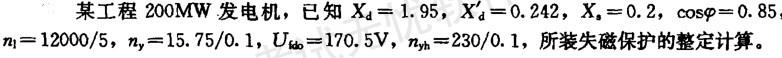
阻抗元件的整定值为()。

作者: tihaiku 人气: - 评论: 0
问题 阻抗元件的整定值为()。
选项
答案 A
解析 根据《大型发电机变压器继电保护整定计算导则》(DL/T684—1999)4.6条的要求: 按异步边界条件整定

相关内容:阻抗,元件,整定

猜你喜欢

发表评论
更多 网友评论0 条评论)
暂无评论

访问排行

Copyright © 2012-2014 恰考网 Inc. 保留所有权利。 Powered by tikuer.com

页面耗时0.0386秒, 内存占用1.04 MB, Cache:redis,访问数据库18次