无论有无髙差,一个档距中电线的重量,将从其弧垂最低点分别传递到两侧杆塔上,该最低点到杆塔的距离称为该杆塔该侧的垂直档距(l1v或l2v),杆塔总的垂直档距...

作者: tihaiku 人气: - 评论: 0
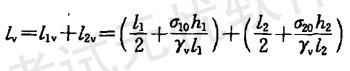
问题 无论有无髙差,一个档距中电线的重量,将从其弧垂最低点分别传递到两侧杆塔上,该最低点到杆塔的距离称为该杆塔该侧的垂直档距(l1v或l2v),杆塔总的垂直档距lv=l1v+l2v。 某直线塔位于斜坡上,l1=350m,h1= 70m,l2=400m,h2=—60m,σ=58.8N/mm2,7=3.4X1O-2 N/(m?mm2)。 其垂直档距为()。
选项 A.452m; B.461m; C.482m; D.513m。
答案 B
解析 根据《电力工程高压送电线路设计手册》(第二版)。183页,式(3-3-11),

相关内容:髙差,电线,重量,弧垂,最低点,两侧,杆塔,点到,距离,该侧

猜你喜欢

发表评论
更多 网友评论0 条评论)
暂无评论

访问排行

Copyright © 2012-2014 恰考网 Inc. 保留所有权利。 Powered by tikuer.com

页面耗时0.0313秒, 内存占用1.04 MB, Cache:redis,访问数据库17次