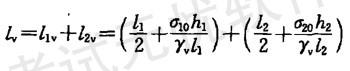
无论有无髙差,一个档距中电线的重量,将从其弧垂最低点分别传递到两侧杆塔上,该最低点到杆塔的距离称为该杆塔该侧的垂直档距(l1v或l2v),杆塔总的垂直档距...

作者: tihaiku 人气: - 评论: 0
问题 无论有无髙差,一个档距中电线的重量,将从其弧垂最低点分别传递到两侧杆塔上,该最低点到杆塔的距离称为该杆塔该侧的垂直档距(l1v或l2v),杆塔总的垂直档距lv=l1v+l2v。 某耐张塔位于陡坡上,h1=250m,h1=-100m,σ1=58.8N/mm2,l2=450m,h2=1OOm,σ2=60.76N/mm2;γ=3.4X1O-2N/(m.mm2)。 其前后侧垂直档距llv/来v(m)(耐张塔绝缘子串挂点分别在横担前,后侧,且可能出现上拔力,故分开计算)为()。
选项 A.-547/602; B.-557/612; C.-567/622; D.—577/632。
答案 C
解析 根据《电力工程高压送电线路设计手册》(第二版)。183页,式(3-3-11),

相关内容:髙差,电线,重量,弧垂,最低点,两侧,杆塔,点到,距离,该侧

猜你喜欢

发表评论
更多 网友评论0 条评论)
暂无评论

访问排行

Copyright © 2012-2014 恰考网 Inc. 保留所有权利。 Powered by tikuer.com

页面耗时0.0592秒, 内存占用1.03 MB, Cache:redis,访问数据库13次