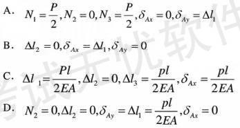
结构受力如图所示。若用N1、 N2、N3和Δl1、Δl2、Δl3分别代表杆①、②、③的轴力和伸长,用δAx、δAy表示点A的水平位移和竖直位移,则下列结论...

作者: tihaiku 人气: - 评论: 0
问题 结构受力如图所示。若用N1、 N2、N3和Δl1、Δl2、Δl3分别代表杆①、②、③的轴力和伸长,用δAx、δAy表示点A的水平位移和竖直位移,则下列结论中正确的是( )。
选项
答案 C
解析

相关内容:结构,受力,如图,若用,代表,轴力,水平,位移,结论

猜你喜欢

发表评论
更多 网友评论0 条评论)
暂无评论
错误啦!

错误信息

  • 消息: [程序异常] : MISCONF Redis is configured to save RDB snapshots, but it's currently unable to persist to disk. Commands that may modify the data set are disabled, because this instance is configured to report errors during writes if RDB snapshotting fails (stop-writes-on-bgsave-error option). Please check the Redis logs for details about the RDB error.
  • 文件: /twcms/kongphp/cache/cache_redis.class.php
  • 位置: 第 85 行
    <?php echo 'KongPHP, Road to Jane.'; ?>