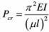
如图所示,两细长压杆除图(b)所示压杆在跨中点增加一个活动铰链外,其他条件均相同,则图(b)压杆的临界力是图(a)压杆的( )倍。 A. 2 B. 4...

作者: tihaiku 人气: - 评论: 0
问题 如图所示,两细长压杆除图(b)所示压杆在跨中点增加一个活动铰链外,其他条件均相同,则图(b)压杆的临界力是图(a)压杆的( )倍。
选项 A. 2 B. 4 C. 5 D. 8
答案 B
解析 在压杆中间设置活动铰支座后,没有改变压杆的支承方式,但是改变了稳定性计算的等效长度,等效长度由原来的1变为1/2,由临界力公式临界力与等效长度的二次方成反比,所以设置铰支座后压杆的临界力增大为原来的4倍。

相关内容:如图,压杆,中点,活动,铰链,条件,则图

猜你喜欢

发表评论
更多 网友评论0 条评论)
暂无评论

Copyright © 2012-2014 恰考网 Inc. 保留所有权利。 Powered by tikuer.com

页面耗时0.0355秒, 内存占用1.04 MB, Cache:redis,访问数据库20次