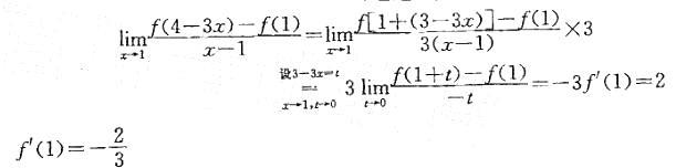
已知函数f(x)在x=1处可导,则f'(1)等于:
A. 2 B. 1
相关内容:函数
- pz波函数角度分布的形状是:
A.双球形 B.球形 C.四瓣梅花形 D.橄榄形
- 下列各波函数不合理的是:
A. ψ(1,1,0) B. ψ(2,1,0)
C. ψ(3,2,0) D. ψ(5,3,0)
- 下列函数f(x,t)表示弹性介质中的一维波动,式中A、a和b是正常数。其中哪个函数表示沿x轴负向传播的行波?
A. f(x,t) =Acos(ax+bt...
- 设某种理想气体的麦克斯韦分子速率分布函数为f(v),则速率在v1→v2
- X的分布函数F(x),
A. 0.7 B.0. 75 C. 0. 6 D. 0. 8
- 潜水艇在水中下沉时,其所受阻力与下沉速度成正比,若潜艇由静止状态开始下沉,则下列哪个方程是x(t)(路程是时间的函数)所满足的微分方程(其中K是比例系数,...
- 设f(x),f'(x)为已知的连续函数,则微分方程y'十f'(x)y=f(x)f'(x)的通解是:
A. y=f(x)+ce-f(x) B. y...
- 若y2(x)是线性非齐次方程y'+ P(x)y=Q(x)的解,y1(x)是对应的齐次方程y'+ P(x)y=0的解,则下列函数中哪一个是y'+ P(...
- 下列函数中不是方程y''-2y'+y=0的解的函数是:
A.x2ex
B. ex
C.xex
D. (x+2)ex
- 函数1/x展开成(x-2)的幂级数是: