有10张奖券,其中2张有奖,每人抽取一张奖券,问前4人中有一人中奖的概率是多少? A.8/15 B.4/15 C.2/15 D.1/15

作者: tihaiku 人气: - 评论: 0
问题 有10张奖券,其中2张有奖,每人抽取一张奖券,问前4人中有一人中奖的概率是多少? A.8/15 B.4/15 C.2/15 D.1/15
选项
答案 A
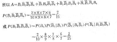
解析 解:设A为“前4人中有一人中奖”Bi为“第i人中奖”,i=1,2,3,4。

猜你喜欢

发表评论
更多 网友评论0 条评论)
暂无评论

Copyright © 2012-2014 恰考网 Inc. 保留所有权利。 Powered by tikuer.com

页面耗时0.0371秒, 内存占用1.04 MB, Cache:redis,访问数据库18次