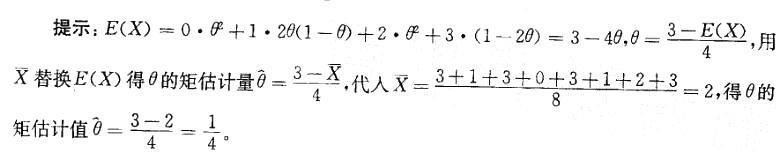
设总体X的概率分布为:
其中θ(0A.1/4 B.1/2 C.2 D.0
相关内容:总体,概率
- 设总体X~N(u,σ2),u与σ2均未知,x1,x2,...,x9为其样本,样本方差,则u的置信度为0. 9的置信区间是:
- 发报台分别以概率0. 6和0. 4发出信号“ ? ”和“一”,由于受到干扰,接受台不能完全准确收到信号,当发报台发出“ ? ”时,接受台分別以概率0. 8...
- 甲乙两人独立地向同一目标各射击一次,命中率分别为0. 8和0. 6,现已知目标被击中,则它是甲射中的概率为:
A. 0. 26 B. 0. 87 C. ...
- 某人从远方来,他乘火车、轮船、汽车、飞机来的概率分别是0. 3、0. 2、0. 1、0. 4。如果他乘火车、轮船、汽车来的话,迟到的概率分别为1/4、1/...
- 盒内装有10个白球,2个红球,每次取1个球,取后不放回。任取两次,则第二次取得红球的概率是:
A. 1/7 B.1/6 C.1/5 D. 1/3
- 设φ(x)为连续型随机变量的概率密度,则下列结论中一定正确的是:
- 设(X1,X2,…,Xn)是抽自正态总体N(u,σ2)的一个容量为10的样本,
- 设总体X的概率密度为而x1,x2,...,xn 是来自总体的样本值,则未知参数θ的最大似然估计值是:
- 设随机变量X的概率密度为则Y表示对X的3次独立重复观察中事件{x=1/2}出现的次数,则P{Y=2}=:
A.3/64 B.9/64 C.3/16 D....
- 有10张奖券,其中2张有奖,每人抽取一张奖券,问前4人中有一人中奖的概率是多少?
A.8/15 B.4/15 C.2/15 D.1/15