微分方程cosydx+(1+e-x)sinydy=0满足初始条件y x=0=π/3的特解是: A. cosy=(1/4) (1+ex) B. cosy=...

作者: tihaiku 人气: - 评论: 0
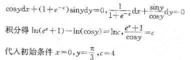
问题 微分方程cosydx+(1+e-x)sinydy=0满足初始条件y x=0=π/3的特解是: A. cosy=(1/4) (1+ex) B. cosy=1+ex C. cosy=4(1+ex) D. cos2y=1+ex
选项
答案 A
解析 提示:本题为一阶可分离变量方程,分离变量后两边积分求解。

猜你喜欢

发表评论
更多 网友评论0 条评论)
暂无评论

Copyright © 2012-2014 恰考网 Inc. 保留所有权利。 Powered by tikuer.com

页面耗时0.0445秒, 内存占用1.03 MB, Cache:redis,访问数据库20次