设f1(x)和f2(x)为二阶常系数线性齐次微分方程y''+py'+q=0的两个特解, 若由f1(x)和f2(x)能构成该方程的通解,下列哪个方程是...

作者: tihaiku 人气: - 评论: 0
问题 设f1(x)和f2(x)为二阶常系数线性齐次微分方程y''+py'+q=0的两个特解, 若由f1(x)和f2(x)能构成该方程的通解,下列哪个方程是其充分条件? A. f1(x)*f'2(x)-f'1(x)*f2(x)=0 B. f1(x)*f'2(x)-f'1(x)*f2(x)≠0 C. f1(x)*f'2(x)+f'1(x)*f2(x)=0 D. f1(x)*f'2(x)+f'1(x)*f2(x)≠0
选项
答案 B
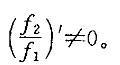
解析 提示:二阶线性齐次方程通解的结构要求f1(x),f2(x)线性无关,

相关内容:二阶,常系数,系数,线性,齐次,两个,特解,若由,构成,方程,通解

猜你喜欢

发表评论
更多 网友评论0 条评论)
暂无评论

Copyright © 2012-2014 恰考网 Inc. 保留所有权利。 Powered by tikuer.com

页面耗时0.0430秒, 内存占用1.03 MB, Cache:redis,访问数据库15次