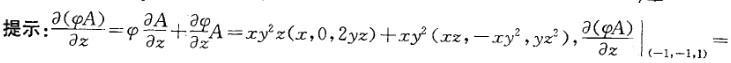
设φ(x,y,z)=xy2z,处的值为:

作者: tihaiku 人气: - 评论: 0
问题 设φ(x,y,z)=xy2z,处的值为:
选项
答案 A
解析 (-1)(-1,0,-2)+(-1)(-1,1,-1)=(2,1,-3)

猜你喜欢

发表评论
更多 网友评论0 条评论)
暂无评论

Copyright © 2012-2014 恰考网 Inc. 保留所有权利。 Powered by tikuer.com

页面耗时0.0301秒, 内存占用1.04 MB, Cache:redis,访问数据库19次