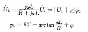
当图示电路的激励电压时,电感感件上的响应电压uL的初相位为:

作者: tihaiku 人气: - 评论: 0
问题 当图示电路的激励电压时,电感感件上的响应电压uL的初相位为:
选项
答案 B
解析 提示:用复数符号法分析

相关内容:电路,激励,电压,电感,感件,相位

猜你喜欢

发表评论
更多 网友评论0 条评论)
暂无评论

Copyright © 2012-2014 恰考网 Inc. 保留所有权利。 Powered by tikuer.com

页面耗时0.0506秒, 内存占用1.04 MB, Cache:redis,访问数据库19次