一直径为D1的实心圆轴,另一内外径之比为d2/D2=0.8的空心轴,若两轴所受扭矩和轴内最大剪应力均相等,则两轴的外径之比D1/D2为(  )。A.0.4...

作者: tihaiku 人气: - 评论: 0
问题 一直径为D1的实心圆轴,另一内外径之比为d2/D2=0.8的空心轴,若两轴所受扭矩和轴内最大剪应力均相等,则两轴的外径之比D1/D2为(  )。
选项 A.0.48 B.0.84 C.1.19 D.1.27
答案 B
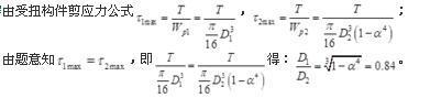
解析

相关内容:直径,圆轴,外径,空心,两轴,扭矩,轴内,A.0.4...

猜你喜欢

发表评论
更多 网友评论0 条评论)
暂无评论

Copyright © 2012-2014 恰考网 Inc. 保留所有权利。 Powered by tikuer.com

页面耗时0.0641秒, 内存占用1.04 MB, Cache:redis,访问数据库18次