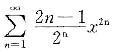
幂级数的收敛域为( )。

作者: tihaiku 人气: - 评论: 0
问题 幂级数的收敛域为( )。
选项
答案 B
解析 令x2=t,幂级数化为当|t|<2,即|x2|<2,亦即时收敛,而当发散,而当时,级数∑(2n-1)发散,从而原级数的收敛域为

猜你喜欢

发表评论
更多 网友评论0 条评论)
暂无评论

Copyright © 2012-2014 恰考网 Inc. 保留所有权利。 Powered by tikuer.com

页面耗时0.0337秒, 内存占用1.03 MB, Cache:redis,访问数据库20次