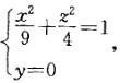
将椭圆绕x轴旋转一周所生成的旋转曲面的方程是:

作者: tihaiku 人气: - 评论: 0
问题 将椭圆绕x轴旋转一周所生成的旋转曲面的方程是:
选项
答案 C
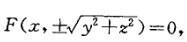
解析 提示:利用平面曲线方程和旋转曲面方程的关系直接写出。 如巳知平面曲线F(x,y)=0,绕x轴旋转得到的旋转曲面方程为 绕y轴旋转,旋转曲面方程为

猜你喜欢

发表评论
更多 网友评论0 条评论)
暂无评论

Copyright © 2012-2014 恰考网 Inc. 保留所有权利。 Powered by tikuer.com

页面耗时0.0308秒, 内存占用1.04 MB, Cache:redis,访问数据库19次