在单缝夫琅和费衍射实验中,若将缝宽缩小一半,原来第三级暗纹处将是()。A.第一级暗纹 B.第一级明纹 C.第二级暗纹 D.第二级明纹

作者: tihaiku 人气: - 评论: 0
问题 在单缝夫琅和费衍射实验中,若将缝宽缩小一半,原来第三级暗纹处将是()。
选项 A.第一级暗纹 B.第一级明纹 C.第二级暗纹 D.第二级明纹
答案 B
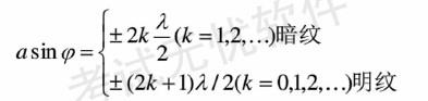
解析 根据单缝夫琅和费衍射条纹的明暗纹条件,有: 当a缩小一半,k=3的暗纹变为k=1的明纹。

猜你喜欢

发表评论
更多 网友评论0 条评论)
暂无评论

访问排行

Copyright © 2012-2014 恰考网 Inc. 保留所有权利。 Powered by tikuer.com

页面耗时0.0353秒, 内存占用1.03 MB, Cache:redis,访问数据库20次