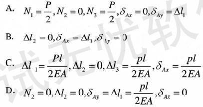
结构受力如图所示。若用N1,N2,N3和Δl1、Δl2、Δl3分别代表杆①、②、③的轴力和伸长,用δAx、δAy表示点A的水平位移和竖直位移,则下列结论中...

作者: tihaiku 人气: - 评论: 0
问题 结构受力如图所示。若用N1,N2,N3和Δl1、Δl2、Δl3分别代表杆①、②、③的轴力和伸长,用δAx、δAy表示点A的水平位移和竖直位移,则下列结论中正确的是()。
选项
答案 C
解析 杆①、②、③均为二力杆,方向沿杆轴线,对A点进行受力分析,得N2=0;由AB杆的受力对称可知N1=P/2、N3=P/2,,再用胡克定律可求出Δl1=Pl/2EA、Δl2=0、Δl3=Pl/2EA。由于A点受力变形后依然要连接杆①和杆②,而杆②不变形,故可用切线代替圆弧的办法求出A的水平位移δAx=δAytan45°=Pl/2EA。

相关内容:结构,受力,如图,若用,代表,轴力,水平,位移,结论

猜你喜欢

发表评论
更多 网友评论0 条评论)
暂无评论

访问排行

Copyright © 2012-2014 恰考网 Inc. 保留所有权利。 Powered by tikuer.com

页面耗时0.0520秒, 内存占用1.05 MB, Cache:redis,访问数据库20次