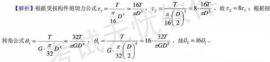
直径为D的受扭圆轴,轴内的最大剪应力为τ1,单位扭转角为θ1。若轴的直径改为D/2,此时轴内的最大剪应力为τ2、单位扭转角为θ2,则下列结论中正确的是()...

作者: tihaiku 人气: - 评论: 0
问题 直径为D的受扭圆轴,轴内的最大剪应力为τ1,单位扭转角为θ1。若轴的直径改为D/2,此时轴内的最大剪应力为τ2、单位扭转角为θ2,则下列结论中正确的是()。
选项 A.τ2 =16τ1,θ2 =8θ1 B.τ2 =16τ1,θ2 =16θ1 C.τ2 =8τ1,θ2= 16θ1 D.τ2 =8τ1,θ2 =8θ1
答案 C
解析

相关内容:直径,受扭圆,轴内,单位,转角,若轴,结论

猜你喜欢

发表评论
更多 网友评论0 条评论)
暂无评论

访问排行

Copyright © 2012-2014 恰考网 Inc. 保留所有权利。 Powered by tikuer.com

页面耗时0.0495秒, 内存占用1.04 MB, Cache:redis,访问数据库19次