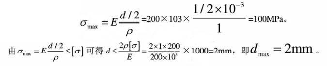
把直径d=1mm为的钢丝绕在直径为2m的卷筒上,钢丝的弹性模量E=200GPa,则钢丝中产生的最大应力为___;若钢丝的容许应力[σ]=200MPa,则所...

作者: tihaiku 人气: - 评论: 0
问题 把直径d=1mm为的钢丝绕在直径为2m的卷筒上,钢丝的弹性模量E=200GPa,则钢丝中产生的最大应力为___;若钢丝的容许应力[σ]=200MPa,则所绕钢丝最大直径为___。()
选项 A.σmax=500MPa;dmax=4mm B.σmax=100MPa;dmax=2mm C.σmax=200GPa;dmax=0.001mm D.σmax=100GPa;dmax=3mm
答案 B
解析 钢丝绕在圆筒上时,钢丝处于纯弯状态,中性层的曲率半径等于卷筒的半径,即ρ=1m,可得钢丝中的最大应力为

相关内容:直径,钢丝,卷筒,弹性,模量,200GPa,应力,200MPa,则所

猜你喜欢

发表评论
更多 网友评论0 条评论)
暂无评论

访问排行

Copyright © 2012-2014 恰考网 Inc. 保留所有权利。 Powered by tikuer.com

页面耗时0.0361秒, 内存占用1.04 MB, Cache:redis,访问数据库18次