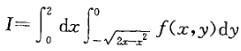
设二重积分,交换积分次序后,则I等于:

作者: tihaiku 人气: - 评论: 0
问题 设二重积分,交换积分次序后,则I等于:
选项
答案 A
解析 解:本题考查二重积分交换积分次序方面的知识。解这类题的基本步骤:通过原积分次序画出积分区域的图形,得到积分区域;然后写出先x后y的积分表达式。

猜你喜欢

发表评论
更多 网友评论0 条评论)
暂无评论

Copyright © 2012-2014 恰考网 Inc. 保留所有权利。 Powered by tikuer.com

页面耗时0.0268秒, 内存占用1.04 MB, Cache:redis,访问数据库19次