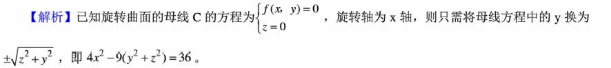
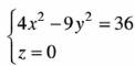
将双曲线C:绕x轴旋转一周所生成的旋转曲面的方程是()。 A.4(x2+z2)-9y2=36 B.4x2-9(y2+z2)=36 C.4x2-9y2=3...

作者: tihaiku 人气: - 评论: 0
问题 将双曲线C:绕x轴旋转一周所生成的旋转曲面的方程是()。 A.4(x2+z2)-9y2=36 B.4x2-9(y2+z2)=36 C.4x2-9y2=36
选项 A.4(x2+y2)-9z2=36
答案 B
解析

猜你喜欢

发表评论
更多 网友评论0 条评论)
暂无评论

访问排行

Copyright © 2012-2014 恰考网 Inc. 保留所有权利。 Powered by tikuer.com

页面耗时0.0549秒, 内存占用1.03 MB, Cache:redis,访问数据库13次