方程xy'-ylny=0,满足ylx=1=e的解是()。

作者: tihaiku 人气: - 评论: 0
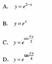
问题 方程xy'-ylny=0,满足ylx=1=e的解是()。
选项
答案 B
解析 将x=1,y=e带入得,C2=1,从而该特解y=ex。

猜你喜欢

发表评论
更多 网友评论0 条评论)
暂无评论

访问排行

Copyright © 2012-2014 恰考网 Inc. 保留所有权利。 Powered by tikuer.com

页面耗时0.0521秒, 内存占用1.04 MB, Cache:redis,访问数据库19次